Fori.vn – Sản phẩm tốt – giá tốt nhất
Bài tập ứng dụng đồng biến, nghịch biến của hàm số đề giải phương trình và bất phương trình
(Level 1)
Lý thuyết và các kết luận về đồng biến nghịch biến xem tại link sau
– Định nghĩa đồng biến, nghịch biến
– Dấu hiệu nhận biết đồng biến, nghịch biến
– Đồng biến, nghịch biến với nghiệm của phương trình và bất phương trình
Bài tập mẫu
Bài tập 1: Giải phương trình sau
Bài giải
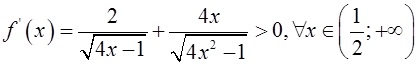
Xét hàm số và xét khoảng đồng biến, nghịch biến của hàm số
Hàm số y = f(x) đồng biến. Vậy phương trình f(x) = 1 có nghiệm duy nhất. Ta có f(1/2) = 1.
Kết luận: Phương trình có nghiệm duy nhất x = 1/2
Bài mẫu 2: Giải phương trình sau
Bài giải:
Viết lại phương trình dưới dạng như sau
Nhận xét: Để phương trình có nghiệm thì
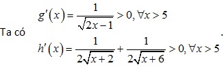
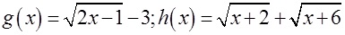
Xét 2 hàm số y = g(x); y = h(x)
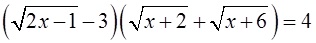
Từ đạo hàm cấp 1 chúng ta nhận thấy 2 hàm số y = g(x); y = h(x) là 2 hàm số dương, đồng biến. Hàm số f(x) = g(x).h(x) là hàm đồng biến với x > 5. Chúng ta nhận thấy f(7) = 4.
Kết luận: x = 7 là nghiệm duy nhất của phương trình
Bài mẫu 3: Giải phương trình
Bài giải
Hàm số y = g(x) nghịch biến trên khoảng xác định
Hàm số y = f(x) đồng biến trên khoảng xác định
Vậy phương trình có nghiệm duy nhất. Nhẩm nghiệm có x = 1 là nghiệm của phương trình
Bài tập áp dụng















Để lại một bình luận
Hãy trở thành người đầu tiên bình luận!