Fori.vn – Sản phẩm tốt – giá tốt nhất
Giải phương trình, bất phương trình bằng phương pháp liên hợp (Level 1 – Cơ bản)
Phương pháp:
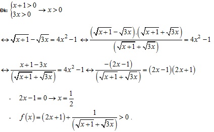
1. Nhẩm nghiệm hoặc dùng máy tính tìm nghiệm của phương trình. giả sử nghiệm của pt là : x0
2. Phân tích và nhân liên hợp sao sau khi nhân liên hợp có biểu thức hoặc là bội của x – x0
Bài tập mẫu: Giải phương trình sau
Phân tích đề bài
- Nhẩm nghiệm hoặc dùng máy tính tìm được nghiệm x = 1/2
- Tìm cách nhân liên hợp để có bội của x – 1/2
- Ta nhân thấy 4x2-1 = (2x-1)(2x+1)
Bài giải
Kết luận: Phương trình có nghiệm duy nhất x = 1/2
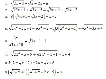
Bài tập áp dụng:
Các bạn hãy bình tĩnh, kiên trì giải từng bài tập một, sau đó hãy rút kinh nghiệm cho bản thân khi giải toán. Chúc các bạn mạnh khỏe, vui vẻ và kiên trì giải bài tập












Để lại một bình luận
2 Các bình luận on "Giải phương trình, bất phương trình bằng phương pháp liên hợp (Level 1- Cơ bản)"
Liên hợp bậc 1: A + B liên hợp là A – B
[…] 8: Giải phương trình kết hợp phương pháp Phân tích, Nhân liên hợp, sử dụng tính đồng biến, nghịch biến, hàm đặc […]