Fori.vn – Sản phẩm tốt – giá tốt nhất
Giải phương trình, bất phương trình bằng phương pháp liên hợp (Level 2)
Phương pháp:
1. Nhẩm nghiệm hoặc dùng máy tính tìm nghiệm của phương trình. Giả sử nghiệm của pt là : x0
2. Phân tích và nhân liên hợp sao sau khi nhân liên hợp có biểu thức hoặc là bội của x – x0
Bài tập mẫu:
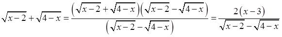
Phân tích đề bài
Dùng máy tính hoặc nhẩm nghiệm chúng ta x = 3 thấy 1 nghiệm của phương trình
Tìm cách phân tích, nhân liên hợp để có bội của x = 3
Vp = 2x2-5x -1 không phân tích được bội của x – 3
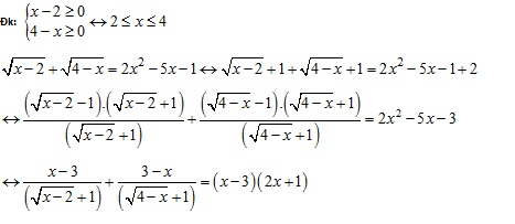
Thêm vào và bớt đi 1 đại lượng để phân tích theo bội của x – 3
Bài giải
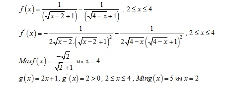
x = 3 là nghiệm của phương trình
Giá trị lớn nhất của hàm f(x) nhỏ hơn giá trị nhỏ nhất của g(x) suy ra hai đồ thị hàm số không cắt nhau. Phương trình vô nghiệm
Kết luận: Phương trình có nghiệm duy nhất x = 3
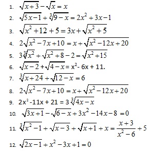
Bài tập áp dụng
Giải phương trình, bất phương trình bằng phương pháp liên hợp (Level 2)
















Để lại một bình luận
Hãy trở thành người đầu tiên bình luận!