Fori.vn – Sản phẩm tốt – giá tốt nhất
Giải bất phương trình bằng phương pháp hàm số – Sử dụng tính đồng biến, nghịch biến
(Level 1 – Tính đồng biến, nghịch biến )
Link kiến thức cơ bản
– Định nghĩa đồng biến, nghịch biến
– Đồng biến, nghịch biến và nghiệm của Bất phương trình
– Dấu hiệu nhận biết đồng biến, nghịch biến
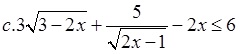
Bài mẫu 1: Giải bất phương trình sau
Bài giải
Hàm số y = f(x) đồng biến trên khoảng xác định. f(x1) > f(x2) <–> x1 > x2
Có f(0) = 3, f(x) > 3 <–> f(x) > f(0) <–> x > 0
Kết luận: Nghiệm của bất phương trình là x > 0
Bài tập áp dung














Để lại một bình luận
Hãy trở thành người đầu tiên bình luận!