Fori.vn – Sản phẩm tốt – giá tốt nhất
Giải PT và BPT bằng phương pháp đặt ẩn phụ
(Level 3 – Đưa về Hpt và Hệ Bất phương trình 2 ẩn )
Phương pháp chung
– Phân tích tìm mối ràng buộc các thành phần trong PT và BPT
– Đặt ẩn phụ, tìm mối ràng buộc của ẩn phụ
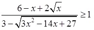
Bài mẫu số 1
Bài giải













Để lại một bình luận
Hãy trở thành người đầu tiên bình luận!