Fori.vn – Sản phẩm tốt – giá tốt nhất
Bài giảng chứng minh dãy số là cấp số cộng.
Trong các dãy số sau đây, dãy số nào là cấp số cộng? Tính số hạng đầu và công sai của nó:
Bài giải
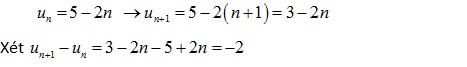
a) Cho dãy số un = 5 – 2n
Vậy dãy số là cấp số cộng của u1 = 3 và công sai d = -2.
Tương tự xét hiệu un+1 – un
Với mọi n ε N* , un+1 – un =
– 1 – (
– 1) =
.
c) Ta có un+1 – un = 2.3n , đó không là hằng số (phụ thuộc n), vậy dãy số k phải là cấp số cộng.
d) Với mọi n ε N* , un+1 – un =
Vậy dãy số là cấp số cộng có u1 = 2, d =
.
Bài 1 trang 97 sách giáo khoa đại số lớp 11 cơ bản cũ














Để lại một bình luận
Hãy trở thành người đầu tiên bình luận!