Fori.vn – Sản phẩm tốt – giá tốt nhất
Xét tính tăng, giảm của các dãy số un biết:
a) un = – 2; b) un =
;
c) un = (-1)n(2n + 1) d) un = .
Hướng dẫn giải:
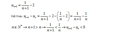
a) Xét dãy số un = – 2.
Vậy dãy số đã cho là dãy số giảm.
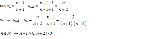
b) Xét dãy số un = ;
Vậy un+1 – un > 0 với mọi n ε N* hay dãy số đã cho là dãy số tăng.
c) Các số hạng ban đầu vì có thừa số (-1)n, nên dãy số dãy số không tăng và cũng không giảm.
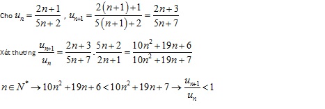
d) dãy số un = .
Cách 1: Làm tương tự như câu a) và b)
Cách 2:
Vậy dãy số đã cho là dãy số giảm dần.













Để lại một bình luận
Hãy trở thành người đầu tiên bình luận!