Fori.vn – Sản phẩm tốt – giá tốt nhất
Tuyển tập các bài tính thể tích hình chóp
(liên quan đến khoảng cách từ 1 điểm đến mặt phẳng)
Thể tích hình chóp liên quan đến khoảng cách là các bài tập khó với đại đa số học sinh. Trong phần tuyển tập và lựa chọn này chúng tôi sẽ sắp xếp các bài tập từ dễ đến khó. Và có các đường link nhắc lại kiến thức để các bạn dễ dàng ôn tập và làm bài.
Link kiến thức cần phải xem lại nếu không nhớ.
- Khoảng cách từ 1 điểm đến mặt phẳng
- Khoảng cách 2 đường thẳng chéo nhau
Bài tập tính thể tích hình chóp và khoảng cách
Bài 01: ( Bài tập cơ bản về khoảng cách và thể tích hình chóp)
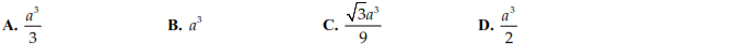
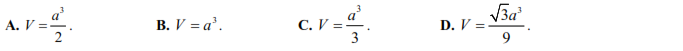
Cho khối chóp S.ABCD có đáy là hình vuông cạnh a. SA vuông góc với đáy và khoảng cách từ A đến mặt phẳng (SBC) bằng a√2/2. Tính thể tích hình chóp

Bài 02: ( Tổng hợp kiến thức góc 2mp, khoảng cách. Bài này các bạn hs ghi chép đầy đủ)
Cho hình chóp S.ABC có đáy ABC là tam giác đều. SA vuông góc với mặt phẳng đáy. Khoảng cách từ A đến mặt phẳng (SBC) bằng a. Góc giữa hai mặt phẳng (SBC) và ( ABC) bằng 300. Tính thể tích hình chóp

Bài 03: ( Bài tập này tương tự như bài tập 01. Các bạn sau khi đã hiểu được bài 01 tự làm bài này)
Cho hình chóp S.ABCD có đáy ABCD là hình chữ nhật có AB = a , AD = 2a. SA vuông góc với đáy, khoảng cách từ A đến (SCD) bằng a/2. Thể tích SABCD bằng bao nhiêu.

Bài 04:
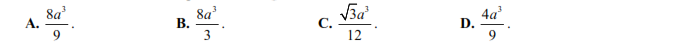
Cho khối chóp S.ABCD có đáy là hình vuông cạnh a. SA vuông góc với đáy và khoảng cách từ C đến mặt phẳng (SBD) bằng a√3/3. Thể tích SABCD băng bao nhiêu.

Bài 05:

Bài 06:
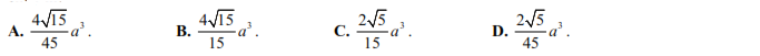
Cho hình chóp đều S.ABCD với O là tâm đáy. Khoảng cách từ O đến mặt bên bằng 1 và góc giữa mặt bên với đáy bằng 450 . Thể tích của khối chóp S.ABCD bằng
![]()
Bài 07:
Cho hình chóp tứ giác S.ABCD có đáy là hình vuông, mặt bên (SAB) là tam giác đều và nằm trong mặt phẳng vuông góc với đáy. Biết khoảng cách từ điểm A đến mặt phẳng (SCD) bằng 3a√7/7. . Thể tích V của khối chóp S.ABCD
![]()










Để lại một bình luận
Hãy trở thành người đầu tiên bình luận!