Fori.vn – Sản phẩm tốt – giá tốt nhất
BÀI 5. ỨNG DỤNG BẤT ĐẲNG THỨC TÌM GTLN VÀ GTNN
I. TÓM TĂT LÝ THUYẾT
II. BÀI TẬP ÁP DỤNG
Bài 1. Tìm GTLN-GTNN của các hàm số sau
a. y = (x + 3)(5 – x) (-3 £ x £ 5)
b. y = (x + 1)(2 – x) (-1 £ x £ 2)
c. y = (2x – 3)(6 – 2x) (3/2 £ x £ 3)

Bài 2. Tìm GTNN của các hàm số sau
a. y = 2x + 1/2x ( x > 0)
b. y = x + 3 + 1/(x + 3) (x > -3)
c. y = 2x +36/(2x – 4) ( x > 2)
Bài 3. Áp dụng BĐT Cô–si để tìm GTNN của các biểu thức sau:

Bài 4. Áp dụng BĐT Cô–si để tìm GTNN của các biểu thức sau:

Bài 5.
a. Tìm GTLN của biểu thức
b. Tìm GTNN của hàm số:
với 0 < x < 1.
c. Tìm GTLN của biểu thức:
với a ≥ 1, b ≥ 2, c ≥ 3
d. Tìm GTLN của biểu thức 
III. BÀI TẬP ĐỀ NGHỊ
Bài 1. Áp dụng BĐT Cô–si để tìm GTLN của các biểu thức sau:
a. y = (x + 3)(5 – x); -3 £ x £ 5. b. y = x(6 – x); 0£ x £ 6

HD: a. Maxy = 16 khi x = 1 b. Maxy = 9 khi x = 3

Bài 2. Cho a, b, x, y Î R. Chứng minh bất đẳng thức sau (BĐT Min–cốp–xki):
Áp dụng chứng minh các bất đảng thức sau:
a. Cho a, b ³ 0 thoả a + b = 1. Tìm GTNN của :
.
b. Tìm GTNN của biểu thức
.
HD: Bình phương 2 vế ta được: (1) Û
(*)
Nếu ab + xy < 0 thì (*) hiển nhiên đúng.
Nếu ab + xy ³ 0 thì bình phương 2 vế ta được: (*) Û (bx – ay)2 ³ 0 (đúng).
Bài 3.
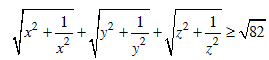
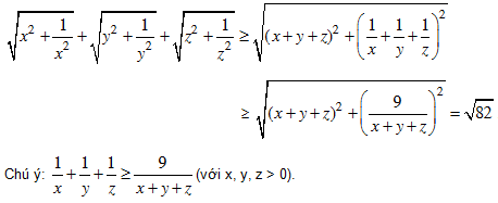
a. Cho x, y, z > 0 thoả mãn x + y + z = 1. Chứng minh:

b. Cho x, y, z > 0 thoả mãn x + y + z = Ö3. Tìm GTNN của biểu thức:

HD: a. Áp dụng (1) liên tiếp hai lần ta được:
b. Tương tự câu a). Ta có











Để lại một bình luận
Hãy trở thành người đầu tiên bình luận!