Fori.vn – Sản phẩm tốt – giá tốt nhất
BÀI 14. DẤU CỦA TAM THỨC BẬC HAI
I. TÓM TẮT LÝ THUYẾT
II. BÀI TẬP ÁP DỤNG
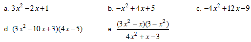
Bài 1. Xét dấu các biểu thức sau:

Bài 2. Tìm m để các phương trình sau: i) có nghiệm ii) vô nghiệm
a. (m – 5)x2 – 4mx + m – 2 = 0 b. (m – 2)x2 + 2(2m – 3)x + 5m – 6 = 0
c. (m – 2)x2 – 4mx + 2m – 6 = 0.
Bài 3. Tìm m để các bất phương trình sau nghiệm đúng với mọi x:
a. 3×2 + 2(m – 1)x + m + 4 > 0 b. x2 + (m + 1)x + 2m + 7 > 0
c. 2×2 + (m – 2)x – m + 4 > 0 d. mx2 + (m – 1)x + m – 1 < 0
Bài 4. Tìm m để các bất phương trình sau vô nghiệm:

III. BÀI TẬP ĐỀ NGHỊ
Bài 1. Xét dấu các biểu thức sau:
a. 3×2 – 2x – 8 b. –x2 + 2x – 1
c. 2×2 – 7x + 5 d. (3×2 – 4x)(2×2 – x – 1)
Bài 2. Tìm m để các phương trình sau: i) có nghiệm ii) vô nghiệm
a. (m – 5)x2 – 4mx + m – 2 = 0 b. (m – 2)x2 + 2(2m – 3)x + 5m – 6 =0
c. (m – 2)x2 – 4mx + 2m – 6 = 0
Bài 3. Tìm m để các bất phương trình sau vô nghiệm:
a. (m – 3)x2 + ( m + 2)x – 4 > 0
b. (3 – m)x2 – 2(2m – 5)x – 2m + 5 > 0
c. mx2 – 4(m + 1)x + m – 5 < 0










Để lại một bình luận
Hãy trở thành người đầu tiên bình luận!