Fori.vn – Sản phẩm tốt – giá tốt nhất
BÀI 15. GIẢI BẤT PHƯƠNG TRÌNH BẬC HAI
I. TÓM TẮT LÝ THUYẾT
II. BÀI TẬP ÁP DỤNG
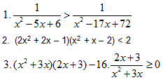
Bài 1. Giải các bất phương trình :

Bài 2. Giải các BPT sau:

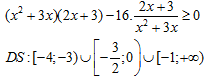
Bài 3. Giải bất phương trình : 
Bài 4. Giải các bất phương trình :
Bài 5.

III. BÀI TẬP ĐỀ NGHỊ
Bài 1. Giải các BPT sau :
x(x – 1)(x + 2)(x – 3) <0
Bài 2.
Bài 3.
Bài 4.
Bài 5. Giải các bất phương trình sau:












Để lại một bình luận
Hãy trở thành người đầu tiên bình luận!