Fori.vn – Sản phẩm tốt – giá tốt nhất
BÀI 13. HỆ BẤT PHƯƠNG TRÌNH BẬC NHẤT HAI ẨN SÔ
I. TÓM TẮT LÝ THUYẾT
II. BÀI TẬP ÁP DỤNG
Bài 1. (Bài 1 – Trang 99 – SGK – Đại số 10 – Cơ bản)
Biểu diễn hình học tập nghiệm của các bất phương trình bậc nhất hai ẩn sau. a. –x + 2 + 2(y – 2) < 2(1 – x)
b. 3(x – 1) + 4(y – 2) < 5x – 3
Bài 2. Bài 2 – Trang 99 – SGK – Đại số 10 – Cơ bản
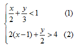
Biểu diễn hình học tập nghiệm của các hệ bất phương trình bậc nhất hai ẩn sau.

Bài 3. Giải BPT bậc nhất hai ẩn số sau : (x – 3) + 2(y – 2) > 2x + 5 (1)
Bài 4. Giải hệ các BPT bậc nhất hai ẩn sau : 
Bài 5. Bác Hai Thành dự định trồng hạt tiêu và hạt điều trên diện tích 8a. Nếu trồng 1a hạt điều cần 20 công và thu hoạch được 40 triệu đồng. Nếu trồng 1a hạt tiêu cần 30 công và thu hoạch 50 triệu đồng. Bạn nên chỉ giúp Bác Hai Thành cần trồng mỗi thứ mấy a để thu hoạch tối đa.Tìm số thu hoạch tối đa đó, biết rằng dùng không quá 180 công cho việc trồng tiêu và hạt điều.
BÀI TẬP ĐỀ NGHỊ
Bài 1.
Tìm GTLN của F.
ĐS: 17( x = 2; y = 3)
Bài 2. 
Tìm GTLN của F.
ĐS: F = 16( x = 2; y = 4)
Bài 3. Giả sử (x1; y1) và (x2; y2) là hai nghiệm của BPT : 
Chứng minh rằng nếu với p > 0, q > 0, p + q = 1 thì (px1 + qx1; py1 + py2) cũng là nghiệm của BPT (1)











Để lại một bình luận
Hãy trở thành người đầu tiên bình luận!