Fori.vn – Sản phẩm tốt – giá tốt nhất
BÀI 19. BẤT PHƯƠNG TRÌNH CHỨA CĂN THỨC
I. TÓM TẮT LÝ THUYẾT
II. BÀI TẬP ÁP DỤNG
Bài 1. Giải các BPT vô tỉ sau:

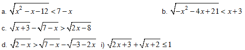
Bài 2. Giải các BPT vô tỉ sau :

Bài 3. Giải các phương trình sau:

Bài 4. Giải các phương trình sau: 
Bài 5. Giải các phương trình sau:
Bài 6. Giải các phương trình sau:
III. BÀI TẬP ĐỀ NGHỊ
Bài 1. Giải các bất phương trình sau:

Bài 2. Giải các bất phương trình sau:

Bài 3. Giải các bất phương trình sau:

Bài 4. Giải các bất phương trình sau:

Bài 5. Giải các phương trình sau: (đặt ẩn phụ)

Bài 6. Giải các BPT vô tỉ sau :












Để lại một bình luận
Hãy trở thành người đầu tiên bình luận!