Tính giới hạn dãy số – Bài 8 trang 122 sách giáo khoa toán 11 cơ bản cũ

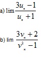
Cho hai dãy số (un) và (vn). Biết lim un = 3, lim vn = +∞.

Tính các giới hạn:

Bài 8 trang 122

Bài giải

tính gioi han 2

Tính giới hạn dãy số – Bài 8 trang 122 sách giáo khoa toán 11 cơ bản cũ

 

Để lại một bình luận

Hãy trở thành người đầu tiên bình luận!

avatar
wpDiscuz
Bài liên quan
Phương trình y = ax + b của đường thẳng. Bài 3 trang 42 sách giao khoa đại số 10
Phương trình y = ax + b của đường thẳng. Bài 3 trang 42 sách giao khoa đại số 10
 Viết phương trình y = ax + b của đường thẳng:a) Đi qua điểm A(4; 3), B(2;- 1).b) Đi qua điểm A(1;- 1) và // với Ox.Hướng dẫn.a) Gọi phương trình đường thẳng  y = ax + b, trong đó a, ...
Chuyên mụcChuyên mục khác
Tổng hợp đề môn Vật lý thi đại học_BGD_cập nhật tới 2016, Phần 3.
Tổng hợp đề môn Vật lý thi đại học_BGD_cập nhật tới 2016, Phần 3.
CẤU TRÚC ĐỀ THI TUYỂN SINH ĐẠI HỌC MÔN VẬT LÝ Dao động cơ học (9 câu)Đại cương về dao động điều hòa:Các khái niệm cơ bản về dao động, các loại dao động: tự do, duy trì, cưỡng bức, ...
Chuyên mụcChuyên mục khác
no img nhan thanh
Nét đặc sắc của nghệ thuật hát Ghẹo ở Phú Thọ
Không giống với hát Bả Trạo (Quảng Bình) hay hát Chầu văn, hát Ghẹo là kiểu hát đối đáp, giao duyên nam nữ, nhưng là kiểu hát giao duyên theo phong tục "nước nghĩa" giữa trai gái Việt và Mường. ...
Chuyên mụcChuyên mục khác
no img nhan thanh
Hãy cho biết đôi nét về làn điệu hát xẩm của người Việt ?
Hát Xẩm là một trong những thể loại hát rong của người Việt thuở xưa và là thể loại đặc trưng của những người hỏng mắt. Họ thường đi từng tốp hai , ba hoặc bốn năm người, nhiều khi ...
Chuyên mụcChuyên mục khác
Sách và tư liệu
Làm thế nào để tạo ấn tượng lúc mới gặp? – Đắc nhân tâm
No img
Một cách dễ dàng để gây mỹ cảm lúc sơ kiếnCó Nhiều bà muốn gây mỹ cảm, tiêu cả một ...
Nghiên cứu triển khai hệ lidar dùng laser bán dẫn phát tại bước sóng 450 nm đo son khí trong lớp khí quyển tầng thấp-2013
Nghiên cứu triển khai hệ lidar dùng laser bán dẫn phát tại bước sóng 450 nm đo son khí trong lớp khí quyển tầng thấp-2013
Phạm Minh Tiến1* Bùi Văn Hải2, Đàm Trung Thông2, Nguyễn Xuân Tuấn2, Nguyễn Đình Hoàng2 và Đinh Văn Trung2 Hội nghị ...
UNIT 9 – TEST 2 – Tiếng anh lớp 11 – Tài liệu cô Cẩm Nhung
UNIT 9 – TEST 2 – Tiếng anh lớp 11 – Tài liệu cô Cẩm Nhung
 UNIT 9                                      TEST 2I.              PRONUNCIATIONChoose the word that has the main stress placed differently from the others.1.     a. technology ...
Không phải chủ nghĩa quân phiệt đâu, nhưng …
No img
KHÔNG PHẢI CHỦ NGHĨA QUÂN PHIỆT ĐÂU, NHƯNG...Ông Clêmăngxô đã chứng minh rất rành rọt cho thê giới nói chung, ...