Fori.vn – Sản phẩm tốt – giá tốt nhất
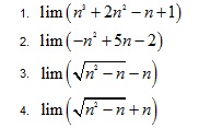
Tính giới hạn các dãy số sau.
Bài giải.
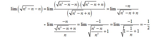
3. Các bài có căn thức thông thường nhân liên hợp
Nhắc lại Liên hợp bậc 2: (A+B) liên hợp là (A-B), (A-B) liên hợp là (A+B)
Hướng dẫn giải bài toán tính giới hạn dãy số. Bài 7 trang 122 sách giáo khoa cơ bản toán 11














Để lại một bình luận
Hãy trở thành người đầu tiên bình luận!