Fori.vn – Sản phẩm tốt – giá tốt nhất
BÀI 9. NHỊ THỨC BẬC NHẤT VÀ ỨNG DỤNG
I. TÓM TẮT LÝ THUYẾT
II. BÀI TẬP ÁP DỤNG
Bài 1. Xét dấu của các biểu thức sau:

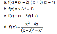
Bài 2. Xét dấu của các biểu thức sau:

Bài 3. Giải các bất phương trình sau:

Bài 4. Giải các bất phương trình sau:
a. (x – 2)(3x + 1) > 0
b. (7 – 4x) (2x – 6) < 0
c. 6x (3 – x) > 0
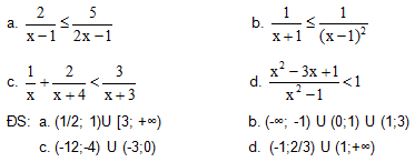
Bài 5. Giải các bất phương trình sau :

III. BÀI TẬP ĐỀ NGHỊ
Bài 1. Giải bất phương trình :
HD: có thể xét dấu từng biểu thức trong trị tuyệt đối hoặc vẽ đồ thị
ĐS: -3 < x < 3
Bài 2. Giải các bất phương trình sau :
Bài 3. Giải các bất phương trình

Bài 4. Giải các bất phương trình sau :











Để lại một bình luận
Hãy trở thành người đầu tiên bình luận!