Fori.vn – Sản phẩm tốt – giá tốt nhất
BIỂU THỨC TỌA ĐỘ CỦA TÍCH VÔ HƯỚNG HAI VECTO
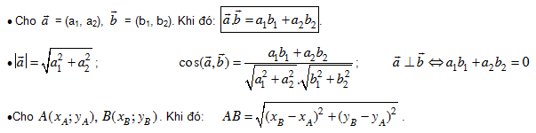
I. TÓM TẮT LÝ THUYẾT
Biểu thức toạ độ của tích vô hướng
II. PP GIẢI BÀI TẬP
Bài 1. Cho tam giác ABC có A(10; 5), B(3;2), C(6; -5).
a) Tính chu vi của tam giác ABC.
b) Tính tích vô hướng 
c) Tìm toạ độ điểm M biết
d) Tam giác ABC là hình gì?
Bài 2. Cho tam giác ABC có A(1; 2), B(–2; 6), C(9; 8).
a) Tính . Chứng minh tam giác ABC vuông tại A.
b) Tính chu vi, diện tích tam gic ABC.
c) Tìm toạ độ điểm M trên Oy để B, M, A thẳng hàng.
d) Tìm toạ độ điểm N trên Ox để tam giác ANC cân tại N.
Bài 3. Cho tam giác ABC có A(1; 2), B(–2; 6), C(9; 8).
a) Tìm toạ độ điểm D để ABDC là hình chữ nhật.
b) Tìm toạ độ điểm K trên Ox để AOKB là hình thang đáy AO.
c) Tìm toạ độ điểm T thoả 
d) Tìm toạ độ điểm E đối xứng với A qua B.
Bài 4. Cho tam giác ABC có A(1; -1), B(5; -3), C(2; 0).
a) Tính chu vi và nhận dạng tam giác ABC
.
Bài 5. Trên mặt phẳng hãy tìm góc giữa hai vta và vtb trong các trường hợp sau:
III. BÀI TẬP ĐỀ NGHỊ
Bài 1. Cho tam giác ABC vuông tại A, AB =a, BC =2a. Tính các tích vô hướng:
Bài 2. Cho tam giác ABC đều cạnh bằng a. Tính các tích vô hướng:
Bài 3. Cho tam giác ABC với A(3; -1); B(-4; 2); C(4; 3). Tìm D để ABCD là hình bình hành.
Bài 4.
Bài 5. Cho tam giác ABC có A(-2; 2), B(6; 6) , C(2; -2)
a. Chứng minh rằng A, B, C không thẳng hàng.
b. Tìm tọa độ điểm D để ABCD là hình bình hành
c. Tìm điểm M Î trục x’Ox để tam giác ABM vuông tại B
d. Tam giác ABC là tam giác gì?
e. Tìm tọa độ trực tâm H của tam giác ABC.











Để lại một bình luận
Hãy trở thành người đầu tiên bình luận!