Tính giới hạn dãy số – Bài 3 trang 121 sách giáo khoa

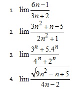
Tính giới hạn các dãy số sau.

gioi han day so 1

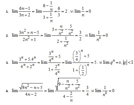
Bài giải 

gioi han day so 2

Giải bài tập tính giới hạn dãy số trong sách giáo khoa Đại số và giải tích lớp 11 ban cơ bản cũ

Để lại một bình luận

Hãy trở thành người đầu tiên bình luận!

avatar
wpDiscuz
Bài liên quan
Đề thi tthử môn Tiếng anh_thpt Hồng Linh_2016
Đề thi tthử môn Tiếng anh_thpt Hồng Linh_2016
SỞ GD&ĐT HÀ TĨNHTRƯỜNG THPT HỒNG LĨNH-------****-------KỲ THI THỬ THPT QUỐC GIA NĂM 2016MÔN THI: TIẾNG ANHThời gian làm bài: 90 phút (không kể thời gian giao đề)  SECTION A (8 points)Choose the answer among A, B, C, D whose ...
Chuyên mụcChuyên mục khác
no img nhan thanh
Bài 1: Khái niệm số phức
Tên bài học:                              Bài 1-  KHÁI NIỆM SỐ PHỨC Nội dung bài học: 1. Bài giảng - Sơ lược về lịch sử ra đời của số phức - Định nghĩa số phức - Biểu diễn hình học của ...
Chuyên mụcChuyên mục khác
Các bước khảo sát và vẽ đồ thị hàm số bậc 3
Các bước khảo sát và vẽ đồ thị hàm số bậc 3
Các bước khảo sát và vẽ đồ thị hàm số bậc 3 : y = ax3 + bx2 + cx + d (a ≠ 0 ) Tập xác định. D=R Sự biến thiên2.1 Xét chiều biến thiên của hàm số+ ...
Chuyên mụcChuyên mục khác
no img nhan thanh
Bài 8. Chứng minh hệ thức lượng giác trong tam giác   
BÀI 8. CHỨNG MINH HỆ THỨC LƯỢNG GIÁC TRONG TAM GIÁC Nội dung bài giảng 1. Tóm tắt lý thuyết           -       Các hệ thức cơ bản.           -       Giá trị lượng giác của các góc có ...
Chuyên mụcChuyên mục khác
no img nhan thanh
Bài 2 trang 62 sgk đại số 10
Bài 2. Giải và biện luận các phương trình sau theo tham số m a) m(x - 2) = 3x + 1; b) m2x + 6 = 4x + 3m; c) (2m + 1)x – ...
Chuyên mụcChuyên mục khác
Sách và tư liệu
Tinh hoa của xứ Đông Dương
No img
TINH HOA CỦA XỨ ĐÔNG DƯƠNGTrong đám tang toàn quyền Lông, ông Nguyễn Khắc Vệ, tiến sĩ khoa luật học, ...
LÊNIN VÀ CÁC DÂN TỘC PHƯƠNG ĐÔNG
No img
LÊNIN VÀ CÁC DÂN TỘC PHƯƠNG ĐÔNGNếu giai cấp vô sản phương Tây coi Lênin là một thủ lĩnh, một ...
Học và làm theo phong cách ứng xử của Chủ tịch Hồ Chí Minh
No img
Học và làm theo phong cách ứng xử của Chủ tịch Hồ Chí MinhTính nhất quán trong phong cách ứng ...
ĐỀ THI THỬ ĐẠI HỌC LẦN 3 – KỲ THI THPT QUỐC GIA NĂM 2016 Môn: Ngữ văn – SỞ GIÁO DỤC & ĐÀO TẠO TRƯỜNG THPT YÊN THẾ
ĐỀ THI THỬ ĐẠI HỌC LẦN 3 –  KỲ THI THPT QUỐC GIA NĂM 2016  Môn: Ngữ văn – SỞ GIÁO DỤC & ĐÀO TẠO TRƯỜNG THPT YÊN THẾ
ĐỀ THI THỬ ĐẠI HỌC LẦN 3 -  KỲ THI THPT QUỐC GIA NĂM 2016Môn: Ngữ vănPhần I. Đọc hiểu ...