Fori.vn – Sản phẩm tốt – giá tốt nhất
Thể tích khối lăng trụ và các bài tập liên quan đến góc giữa đường thẳng và mặt phẳng
Để các bạn học sinh ôn tập và học một cách nhanh nhất. Chúng tôi sưu tập và lựa chọn các bài tập tính thể tích của khối lăng trụ có yếu tố góc. Các bài tập được hướng dẫn giảng bằng các video ngắn. Các bạn học theo cách thức như sau.
- Các bạn vừa nghe giảng, vừa ghi chép lại
- Các bạn tự làm các bài tập trước và sau đó nghe lại bài chữa xem có đúng không.
Nhắc lại kiến thức cần thiết
- Lý thuyết lăng trụ và các công thức cần thiết
- Góc giữa đường thẳng và mặt phẳng
Câu 1:
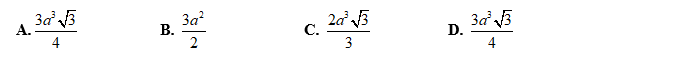
Khối lăng trụ đứng ABCD.A’B’C’D’, đáy ABCD là hình thoi cạnh bằng a và góc A = 600, A’B hợp với đáy (ABCD) một góc 600. Thể tích của khối lăng trụ bằng:

Câu 2:
Cho lăng trụ đứng ABCD A’B’C’D’ có đáy ABCD là hình vuông cạnh a và đường chéo BD’ của lăng trụ hợp với đáy ABCD một góc 300 . Tính thể tích và tổng diên tích của các mặt bên của lăng trụ .

Câu 3:
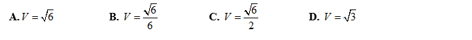
Cho lăng trụ đứng ABCD.A’B’C’D có đáy là hình thoi cạnh bằng 1, góc BAD = 120. Góc giữa đường thẳng AC’ và mặt phẳng (ADD’A’) bằng 300 . Tính thể tích khối lăng trụ.

Câu 4:
Cho hình lăng trụ tứ giác đều ABCD.A’B’C’D’ đáy hình có cạnh bằng a, đường chéo AC’ tạo với mặt bên (BCC’B’) một góc α ( 0 < α < 450. Tính thể tích của lăng trụ tứ giác đều ABCD. A’B’C’D’
![]()










Để lại một bình luận
Hãy trở thành người đầu tiên bình luận!