Fori.vn – Sản phẩm tốt – giá tốt nhất
Phương trình lượng giác cosx = m
Điều kiện có nghiệm -1 ≤ m ≤ 1
m là giá trị sin của góc lượng giác đặc biệt
- m = cosα ( α – góc lượng giác đo bằng radian) → cosx = cosα → x = ±α + k2π
- m = cos β0 ( β0 – góc lượng giác đo bằng độ ) → cosx = cosβ0 → x = ± β0 + k3600
m không phải là giá trị sin của góc đặc biệt: cosx = m → x = ± arc cos(m) + k2π
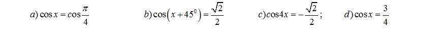
Ví dụ 1: Giải các phương trình lượng giác

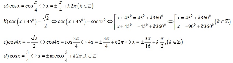
Hướng dẫn giải toán

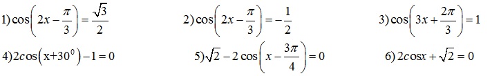
Bài tập áp dụng
Bài tập 1

Bài tập 2











Để lại một bình luận
Hãy trở thành người đầu tiên bình luận!