Fori.vn – Sản phẩm tốt – giá tốt nhất
Công thức Logarit và công thức luỹ thừa
Logarit luỹ thừa là dạng bài tập rất căn bản áp dụng của công thức logarit và công thức luỹ thừa.Trong phần các công thức logarit được chia làm nhỏ các phần bài tập áp dụng ít công thức. Để cho việc học phần công thức logarit đơn giản, dễ học và có nhiều bạn học sinh yếu, trung bình đều học được.
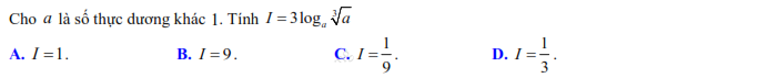
Câu 1:

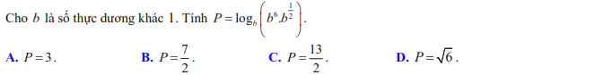
Câu 2:

Câu 3:

Câu 4:

Câu 5:

Câu 6:

Câu 7:

Câu 8:

Câu 9:

Câu 10:













Để lại một bình luận
Hãy trở thành người đầu tiên bình luận!