Fori.vn – Sản phẩm tốt – giá tốt nhất
Công thức logarit của tích, logarit của thương
Logarit của tích, logarit của thương là công thức quan trọng trong phần học Mũ – Logarit. Đối với đại đa số các học sinh. Phần này các bạn thấy dễ. Để cho các bạn học sinh có học lực trung bình, khá làm quen với logarit. Chúng ta chia phần công thức logarit thành nhiều bài nhỏ khác nhau.
Để học thật tốt bài này các bạn phải hiểu và làm thật tốt phần 1: Công thức logarit của luỹ thừa 1 số
Nhắc lại các công thức cần dùng.
Bài tập áp dụng có video chữa bài chi tiết để các bạn học sinh theo dõi.
Cách học như sau: Trong 3 – 4 câu đầu tiên. Các bạn làm cùng với thầy. Có nghĩa là thầy viết, thầy nói các bạn viết theo. Sau đó các bạn tự làm các bài tập. Đến chỗ nào khó các bạn cần trợ giúp các bạn sẽ xem video hướng dẫn.
Câu 1:
Cho a, b, c là các số dương tuỳ ý. Biết loga b = 2, loga c = 3. Tính loga(b2c3) = ?
A. P = 108 B. P =13 C. P = 31 D. P = 30
Câu 2: Với a, b là hai số dương tùy ý. Tính log(a6 b7).

Câu 3: Với a, b là hai số dương tùy ý. Tính loga (a5b).
![]()
Câu 4: Áp dụng công thức logarit của thương và logarit của luỹ thừa 1 số

Câu 5:
Với a là số thực dương tùy ý. Tính log3 (9a2 ) = ?
A. 2log3 a B. 3 + 2log3 a C. 2 + 2log3 a D. 4log3 a
Câu 6:

Câu 7:

Câu 8:
Cho 2 số thực a, b dương thoả mãn điều kiện: log2 b = log4(ab). Mệnh đề nào sau đây là đúng.
A. a = b B. a = 1 C. a2b = 1 D. a2 = b
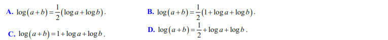
Câu 9: Với mọi số thực dương a, b thoả mãn: a2 + b2 = 8ab. Mệnh đề nào dưới đây là đúng

Câu 10: Với mọi số thực dương a, b thoả mãn: a2 + 4b2 = 5ab. Mệnh đề nào dưới đây là đúng

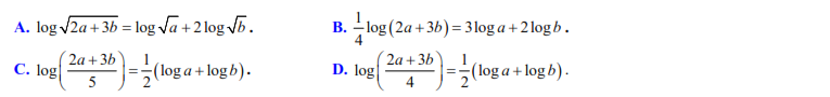
Câu 11: Với mọi số thực dương a, b thoả mãn: 4a2 + 9b2 = 13ab. Mệnh đề nào dưới đây là đúng












Để lại một bình luận
Hãy trở thành người đầu tiên bình luận!