Fori.vn – Sản phẩm tốt – giá tốt nhất
BÀI 18. BẤT PHƯƠNG TRÌNH CHỨA GIÁ TRỊ TUYỆT ĐỐI
I. TÓM TẮT LÝ THUYẾT
II. BÀI TẬP ÁP DỤNG
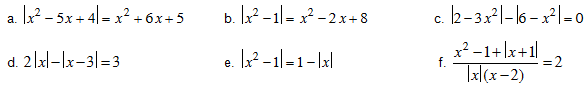
Bài 1. Giải các phương trình sau:

Bài 2. Giải các BPT có dấu giá trị tuyệt đối sau:
Bài 3. Giải các BPT sau:
Bài 4. Giải các bất phương trình sau:
Bài 5. Giải các bất phương trình sau:
III. BÀI TẬP ĐỀ NGHỊ
Bài 1. Giải các phương trình sau:
Bài 2. Giải các BPT sau:
Bài 3. Giải các BPT sau













Để lại một bình luận
Hãy trở thành người đầu tiên bình luận!